#118089
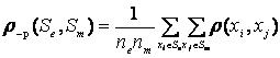
Расстояние, измеряемого по принципу “дальнего соседа” находится по формуле
Варианты ответа:
Тематика:
Методы многомерной классификации
Курсы в категории:
Математика и статистика





