#163518
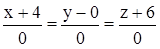
#163518: Пространственная прямая, проходящая через начало координат и параллельная вектору, где M1(2; 0; 3), M2(-2; 0; -3), задается уравнением … /images/00001-10000/05736/05736-523.jpg
Пространственная прямая, проходящая через начало координат и параллельная вектору, где M1(2; 0; 3), M2(-2; 0; -3), задается уравнением …
Варианты ответа:
Тематика:
Геометрия и топология
Курсы в категории:
Математика и статистика
Данная дисциплина исследует структуры пространств, формы объектов и их преобразования, уделяя особое внимание фундаментальным свойствам и взаимосвязям. Она развивает логическое и абстрактное мышление, позволяя анализировать сложные геометрические и топологические задачи. Знания, полученные в рамках курса, находят применение в различных областях, включая теоретическую математику, физику, компьютерную графику и инженерные науки. Изучение материала способствует формированию строгого математического подхода и умения работать с многомерными и нестандартными пространствами.
Данная дисциплина исследует структуры пространств, формы объектов и их преобразования, уделяя особое внимание фундаментальным свойствам и взаимосвязям. Она развивает логическое и абстрактное мышление, позволяя анализировать сложные геометрические и топологические задачи. Знания, полученные в рамках курса, находят применение в различных областях, включая теоретическую математику, физику, компьютерную графику и инженерные науки. Изучение материала способствует формированию строгого математического подхода и умения работать с многомерными и нестандартными пространствами.