#194467
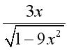
Производная функции у = arcsin3x равна
Варианты ответа:
Тематика:
Высшая математика
Курсы в категории:
Математика и статистика




