#203721
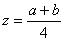
#203721: Метод средней точки на каждой стадии использует точку, которая рассчитывается по формуле …
Метод средней точки на каждой стадии использует точку, которая рассчитывается по формуле …
Варианты ответа:
Тематика:
Методы оптимизации
Курсы в категории:
Информационные технологии
Данная дисциплина изучает ключевые принципы и методы анализа данных, включая сбор, обработку и визуализацию информации. Рассматриваются современные инструменты и технологии, применяемые в машинном обучении и статистике. Особое внимание уделяется практическому применению навыков для решения реальных задач в различных областях. Курс также охватывает основы программирования и работу с большими массивами данных, что позволяет студентам развивать компетенции, востребованные на современном рынке труда.
Данная дисциплина изучает ключевые принципы и методы анализа данных, включая сбор, обработку и визуализацию информации. Рассматриваются современные инструменты и технологии, применяемые в машинном обучении и статистике. Особое внимание уделяется практическому применению навыков для решения реальных задач в различных областях. Курс также охватывает основы программирования и работу с большими массивами данных, что позволяет студентам развивать компетенции, востребованные на современном рынке труда.