#208584
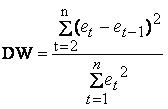
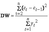
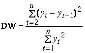
Статистика Дарбина-Уотсона (DW) вычисляется по формуле
Варианты ответа:
Тематика:
Эконометрика
Курсы в категории:
Экономика и управление


