#216702

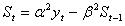
#216702: Модель экспоненциального сглаживания определяется рекуррентной формулой:

Модель экспоненциального сглаживания определяется рекуррентной формулой:
Варианты ответа:
Курсы в категории: Экономика и управление

Курс направлен на изучение ключевых принципов и методов, необходимых для понимания и применения современных технологий в профессиональной деятельности. В рамках программы рассматриваются теоретические основы, практические аспекты и актуальные тенденции, позволяющие развить навыки анализа и решения задач. Особое внимание уделяется междисциплинарному подходу, что способствует формированию комплексного видения предметной области. Учебные материалы включают кейсы, интерактивные задания и примеры из реальной практики для лучшего усвоения материала.

Курс направлен на изучение ключевых принципов и методов, необходимых для понимания и применения современных технологий в профессиональной деятельности. В рамках программы рассматриваются теоретические основы, практические аспекты и актуальные тенденции, позволяющие развить навыки анализа и решения задач. Особое внимание уделяется междисциплинарному подходу, что способствует формированию комплексного видения предметной области. Учебные материалы включают кейсы, интерактивные задания и примеры из реальной практики для лучшего усвоения материала.

Похожие вопросы по дисциплине

📚 Похожие вопросы по этой дисциплине
Значение критерия Дарбина-Уотсона для временного ряда остатков e1, e1, …, en опре... Если расчетное значение критерия Дарбина-Уотсона d принадлежит области ( - табличные критические значения), то:
Изображение похожего вопроса
Для временного ряда производства угля длиной n=9 (t=1, 2,...,9) оценены параметры модели =454-17,8t и дисперсия отклонений фактических значений от расчетных. Ширина доверительного интервала прогноза в точке t=10 (разница между верхней и нижней границ... Для временного ряда производства угля длиной n=9 (t=1, 2,...,9) оценены параметры модели =454-17,8t и дисперсия отклонений фактических значений от расчетных.Рассчитать интервальный прогноз производства угля в точке t=11. Доверительную вероятность при... Для временного ряда производства угля длиной n=9 (t=1, 2,...,9) оценены параметры модели =454-17,8t и дисперсия отклонений фактических значений от расчетных Сравнить ширину доверительных интервалов в точке t=11 (период упреждения прогноза=2) и в точк...