#227658
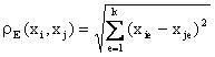
Расстояние, измеряемого по принципу “дальнего соседа” находится по формуле
Варианты ответа:
Тематика:
Эконометрика
Курсы в категории:
Экономика и управление





