#292697
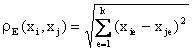
Расстояние, измеряемое по принципу “ближайшего соседа” находится по формуле:
Варианты ответа:
Тематика:
Эконометрика
Курсы в категории:
Экономика и управление





