#313386

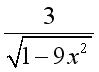
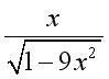
#313386: Производная функции у = arcsin3x равна

Производная функции у = arcsin3x равна
Варианты ответа:
Курсы в категории: Математика и статистика

Курс направлен на изучение ключевых принципов и методов анализа данных, включая сбор, обработку и интерпретацию информации. Студенты освоят современные инструменты и технологии, применяемые в машинном обучении и статистике. Особое внимание уделяется практическим заданиям, позволяющим закрепить навыки работы с реальными наборами данных. Программа также охватывает основы визуализации результатов и их применение для принятия решений в различных сферах. Подходит для начинающих специалистов, желающих углубить свои знания в области Data Science.

Курс направлен на изучение ключевых принципов и методов анализа данных, включая сбор, обработку и интерпретацию информации. Студенты освоят современные инструменты и технологии, применяемые в машинном обучении и статистике. Особое внимание уделяется практическим заданиям, позволяющим закрепить навыки работы с реальными наборами данных. Программа также охватывает основы визуализации результатов и их применение для принятия решений в различных сферах. Подходит для начинающих специалистов, желающих углубить свои знания в области Data Science.

Похожие вопросы по дисциплине

📚 Похожие вопросы по этой дисциплине
Какая из заданных функций задан... Какая из заданных функций является обратной для фун...