#329655

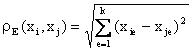
#329655: Расстояние, измеряемого по принципу “дальнего соседа” находится по формуле

Расстояние, измеряемого по принципу “дальнего соседа” находится по формуле
Варианты ответа:
Тематика: Эконометрика
Курсы в категории: Экономика и управление

Данная дисциплина направлена на изучение ключевых принципов и методов, необходимых для понимания и применения современных технологий в профессиональной деятельности. В рамках курса рассматриваются теоретические основы, практические аспекты и актуальные тенденции, позволяющие развить навыки анализа и решения сложных задач. Особое внимание уделяется междисциплинарному подходу, что способствует формированию системного мышления и умения работать в команде. Программа включает лекции, семинары и практические задания для закрепления материала.

Данная дисциплина направлена на изучение ключевых принципов и методов, необходимых для понимания и применения современных технологий в профессиональной деятельности. В рамках курса рассматриваются теоретические основы, практические аспекты и актуальные тенденции, позволяющие развить навыки анализа и решения сложных задач. Особое внимание уделяется междисциплинарному подходу, что способствует формированию системного мышления и умения работать в команде. Программа включает лекции, семинары и практические задания для закрепления материала.