#345981
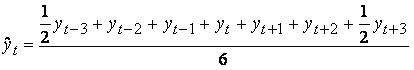
Расчет 7-членной взвешенной скользящей средней на каждом активном участке сглаживания yt-3, yt-2, yt-1, yt, yt+1, yt+2, yt+3 осуществляется по формуле
Варианты ответа:
Курсы в категории:
Экономика и управление


