#364667

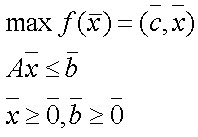
#364667: Каноническая задача линейного программирования в векторно-матричной форме выглядит как

Каноническая задача линейного программирования в векторно-матричной форме выглядит как
Варианты ответа:
Курсы в категории: Экономика и управление

Дисциплина изучает методы анализа и принятия оптимальных решений в условиях ограниченных ресурсов с применением математических моделей и алгоритмов. Рассматриваются задачи линейного, нелинейного и динамического программирования, теория игр, сетевые модели и стохастические методы. Полученные знания позволяют повышать эффективность процессов в экономике, логистике, управлении проектами и других областях, где требуется рациональное распределение ресурсов. Особое внимание уделяется практическому применению оптимизационных подходов для решения реальных задач.

Дисциплина изучает методы анализа и принятия оптимальных решений в условиях ограниченных ресурсов с применением математических моделей и алгоритмов. Рассматриваются задачи линейного, нелинейного и динамического программирования, теория игр, сетевые модели и стохастические методы. Полученные знания позволяют повышать эффективность процессов в экономике, логистике, управлении проектами и других областях, где требуется рациональное распределение ресурсов. Особое внимание уделяется практическому применению оптимизационных подходов для решения реальных задач.