#409083

#409083: Производная функции у = arcsin3x равна

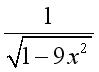
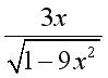
Производная функции у = arcsin3x равна
Варианты ответа:
Тематика: Математика
Курсы в категории: Математика и статистика

Курс направлен на изучение ключевых принципов и методов анализа данных, включая сбор, обработку и визуализацию информации. Студенты освоят современные инструменты для работы с большими массивами данных, научатся выявлять закономерности и принимать обоснованные решения на основе аналитических выводов. Программа также охватывает основы машинного обучения и статистики, что позволяет применять полученные знания в различных сферах — от бизнеса до научных исследований. Практические задания помогут закрепить навыки и подготовиться к реальным задачам.

Курс направлен на изучение ключевых принципов и методов анализа данных, включая сбор, обработку и визуализацию информации. Студенты освоят современные инструменты для работы с большими массивами данных, научатся выявлять закономерности и принимать обоснованные решения на основе аналитических выводов. Программа также охватывает основы машинного обучения и статистики, что позволяет применять полученные знания в различных сферах — от бизнеса до научных исследований. Практические задания помогут закрепить навыки и подготовиться к реальным задачам.

Похожие вопросы по дисциплине

📚 Похожие вопросы по этой дисциплине
Какая из заданных функций задан... Какая из заданных функций является обратной для фун...