#460996
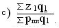
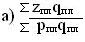
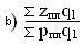
#460996: По какой из формул нужно определять фактические затраты на один рубль товарной продукции в плановых ценах?
По какой из формул нужно определять фактические затраты на один рубль товарной продукции в плановых ценах?
Варианты ответа:
Тематика:
Экономика предприятия
Курсы в категории:
Экономика и управление
Данная дисциплина изучает ключевые принципы и методы анализа данных, включая сбор, обработку и интерпретацию информации. Рассматриваются современные инструменты и технологии для работы с большими массивами данных, а также основы визуализации и представления результатов. Особое внимание уделяется практическому применению полученных знаний в различных сферах, таких как бизнес, наука и IT. Курс помогает развить навыки критического мышления и принятия решений на основе данных.
Данная дисциплина изучает ключевые принципы и методы анализа данных, включая сбор, обработку и интерпретацию информации. Рассматриваются современные инструменты и технологии для работы с большими массивами данных, а также основы визуализации и представления результатов. Особое внимание уделяется практическому применению полученных знаний в различных сферах, таких как бизнес, наука и IT. Курс помогает развить навыки критического мышления и принятия решений на основе данных.