#474053
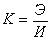
#474053: Торговый баланс страны рассчитывается:
Торговый баланс страны рассчитывается:
Варианты ответа:
- Б = Э – И
-
- О = Э + И
-
Тематика:
Мировая экономика
Курсы в категории:
Экономика и управление
Данная дисциплина изучает ключевые принципы и методы анализа данных, включая сбор, обработку и интерпретацию информации. Рассматриваются современные инструменты и технологии, применяемые в различных областях, от бизнеса до науки. Особое внимание уделяется практическим навыкам работы с большими массивами данных, визуализации результатов и принятию решений на основе аналитики. Курс также затрагивает вопросы этики и безопасности при работе с информацией.
Данная дисциплина изучает ключевые принципы и методы анализа данных, включая сбор, обработку и интерпретацию информации. Рассматриваются современные инструменты и технологии, применяемые в различных областях, от бизнеса до науки. Особое внимание уделяется практическим навыкам работы с большими массивами данных, визуализации результатов и принятию решений на основе аналитики. Курс также затрагивает вопросы этики и безопасности при работе с информацией.