#493115
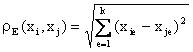
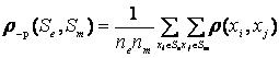
Расстояние, измеряемое по принципу “средней связи» находится по формуле
Варианты ответа:
Тематика:
Эконометрика
Курсы в категории:
Экономика и управление





