#5330

#5330: Найти интеграл /images/00001-10000/00242/00242-716.jpg

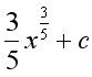
Найти интеграл
Изображение вопроса
Варианты ответа:
Курсы в категории: Математика и статистика

Курс направлен на изучение ключевых принципов и методов анализа данных, включая сбор, обработку и интерпретацию информации. Студенты освоят современные инструменты и технологии, применяемые в машинном обучении и статистике. Особое внимание уделяется практическим заданиям, позволяющим закрепить навыки работы с реальными наборами данных. Программа также охватывает основы визуализации результатов и их применение для принятия решений в различных сферах. Подходит для начинающих специалистов, желающих углубить свои знания в области Data Science.

Курс направлен на изучение ключевых принципов и методов анализа данных, включая сбор, обработку и интерпретацию информации. Студенты освоят современные инструменты и технологии, применяемые в машинном обучении и статистике. Особое внимание уделяется практическим заданиям, позволяющим закрепить навыки работы с реальными наборами данных. Программа также охватывает основы визуализации результатов и их применение для принятия решений в различных сферах. Подходит для начинающих специалистов, желающих углубить свои знания в области Data Science.

Похожие вопросы по дисциплине

📚 Похожие вопросы по этой дисциплине
Найти интеграл
Изображение похожего вопроса
Найти интеграл
Изображение похожего вопроса
Найти интеграл
Изображение похожего вопроса
Найти интеграл
Изображение похожего вопроса
Найти интеграл
Изображение похожего вопроса