#5346
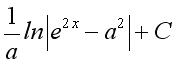
#5346: Найти интеграл /images/00001-10000/00242/00242-941.jpg
Найти интеграл
Варианты ответа:
Тематика:
Математический анализ
Курсы в категории:
Математика и статистика
Курс направлен на изучение ключевых принципов и методов анализа данных, включая сбор, обработку и интерпретацию информации. Студенты освоят современные инструменты и технологии, применяемые в машинном обучении и статистике. Особое внимание уделяется практическим заданиям, позволяющим закрепить навыки работы с реальными наборами данных. Программа также охватывает основы визуализации результатов и их применение для принятия решений в различных сферах. Подходит для начинающих специалистов, желающих углубить свои знания в области Data Science.
Курс направлен на изучение ключевых принципов и методов анализа данных, включая сбор, обработку и интерпретацию информации. Студенты освоят современные инструменты и технологии, применяемые в машинном обучении и статистике. Особое внимание уделяется практическим заданиям, позволяющим закрепить навыки работы с реальными наборами данных. Программа также охватывает основы визуализации результатов и их применение для принятия решений в различных сферах. Подходит для начинающих специалистов, желающих углубить свои знания в области Data Science.