#54655
#54655: Дан интегральный оператор, решить уравнение х=Ах методом последовательных приближений, приняв за х0=0, вычислить первое приближение /images/00001-10000/01773/01773-453.jpg
Дан интегральный оператор, решить уравнение х=Ах методом последовательных приближений, приняв за х0=0, вычислить первое приближение
Варианты ответа:
- х=1
- х=t+1
- x=t2/2+t+1
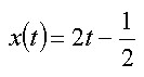
-
- -31
Тематика:
Функциональный анализ
Курсы в категории:
Математика и статистика
Курс посвящен изучению фундаментальных принципов и современных методов в данной области, формированию практических навыков и аналитического мышления. Рассматриваются ключевые концепции, инструменты и технологии, применяемые в профессиональной деятельности. Особое внимание уделяется решению прикладных задач, работе с реальными данными и развитию компетенций, востребованных на рынке труда. Программа включает теоретические модули, практические задания и кейсы для самостоятельной работы.
Курс посвящен изучению фундаментальных принципов и современных методов в данной области, формированию практических навыков и аналитического мышления. Рассматриваются ключевые концепции, инструменты и технологии, применяемые в профессиональной деятельности. Особое внимание уделяется решению прикладных задач, работе с реальными данными и развитию компетенций, востребованных на рынке труда. Программа включает теоретические модули, практические задания и кейсы для самостоятельной работы.