#54662
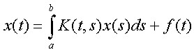
#54662: Уравнение Фредгольма 1-го рода имеет вид:
Уравнение Фредгольма 1-го рода имеет вид:
Варианты ответа:
Тематика:
Функциональный анализ
Курсы в категории:
Математика и статистика
Курс посвящен изучению фундаментальных принципов и современных методов в данной области, формированию практических навыков и аналитического мышления. Рассматриваются ключевые концепции, инструменты и технологии, применяемые в профессиональной деятельности. Особое внимание уделяется решению прикладных задач, работе с реальными данными и развитию компетенций, востребованных на рынке труда. Программа включает теоретические модули, практические задания и кейсы для самостоятельной работы.
Курс посвящен изучению фундаментальных принципов и современных методов в данной области, формированию практических навыков и аналитического мышления. Рассматриваются ключевые концепции, инструменты и технологии, применяемые в профессиональной деятельности. Особое внимание уделяется решению прикладных задач, работе с реальными данными и развитию компетенций, востребованных на рынке труда. Программа включает теоретические модули, практические задания и кейсы для самостоятельной работы.