#56387
#56387: Верно выражение: …
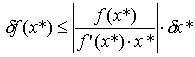
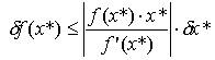
Верно выражение: …
Варианты ответа:
Тематика:
Вычислительная математика
Курсы в категории:
Математика и статистика
Дисциплина посвящена исследованию численных методов, применяемых для решения математических задач с использованием вычислительной техники. Рассматриваются алгоритмы анализа данных, аппроксимации функций, решения дифференциальных уравнений и оптимизации. Особое внимание уделяется практической реализации методов в программных средах для моделирования процессов в физике, инженерии и экономике. Курс развивает навыки работы с вычислительными инструментами и формирует понимание точности и устойчивости численных решений.
Дисциплина посвящена исследованию численных методов, применяемых для решения математических задач с использованием вычислительной техники. Рассматриваются алгоритмы анализа данных, аппроксимации функций, решения дифференциальных уравнений и оптимизации. Особое внимание уделяется практической реализации методов в программных средах для моделирования процессов в физике, инженерии и экономике. Курс развивает навыки работы с вычислительными инструментами и формирует понимание точности и устойчивости численных решений.