#704130

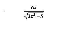
#704130: Производная функции равна … /images/20001-30000/24711/24711-70.jpg

Производная функции равна …
Изображение вопроса
Варианты ответа:
  • 6x-5
Курсы в категории: Маркетинг и реклама

Данная дисциплина посвящена освоению методов визуализации данных с помощью графиков, диаграмм и схем. Студенты научатся преобразовывать сложную информацию в понятные и эстетически привлекательные форматы, что особенно востребовано в аналитике, медиа и бизнес-коммуникациях. Особое внимание уделяется выбору подходящих инструментов, работе с цветом и композицией для повышения наглядности и убедительности визуальных материалов. Практические задания помогут закрепить навыки создания инфографики, адаптированной под разные аудитории и цели.

Данная дисциплина посвящена освоению методов визуализации данных с помощью графиков, диаграмм и схем. Студенты научатся преобразовывать сложную информацию в понятные и эстетически привлекательные форматы, что особенно востребовано в аналитике, медиа и бизнес-коммуникациях. Особое внимание уделяется выбору подходящих инструментов, работе с цветом и композицией для повышения наглядности и убедительности визуальных материалов. Практические задания помогут закрепить навыки создания инфографики, адаптированной под разные аудитории и цели.

Похожие вопросы по дисциплине

📚 Похожие вопросы по этой дисциплине
Производная функции у = log5(3x2 –5)...