#755902

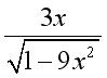
#755902: Производная функции у = arcsin3x равна

Производная функции у = arcsin3x равна
Варианты ответа:
Курсы в категории: Маркетинг и реклама

Данная дисциплина посвящена освоению методов визуализации данных с помощью графиков, диаграмм и схем. Студенты научатся преобразовывать сложную информацию в понятные и эстетически привлекательные форматы, что особенно востребовано в аналитике, медиа и бизнес-коммуникациях. Особое внимание уделяется выбору подходящих инструментов, работе с цветом и композицией для повышения наглядности и убедительности визуальных материалов. Практические задания помогут закрепить навыки создания инфографики, адаптированной под разные аудитории и цели.

Данная дисциплина посвящена освоению методов визуализации данных с помощью графиков, диаграмм и схем. Студенты научатся преобразовывать сложную информацию в понятные и эстетически привлекательные форматы, что особенно востребовано в аналитике, медиа и бизнес-коммуникациях. Особое внимание уделяется выбору подходящих инструментов, работе с цветом и композицией для повышения наглядности и убедительности визуальных материалов. Практические задания помогут закрепить навыки создания инфографики, адаптированной под разные аудитории и цели.

Похожие вопросы по дисциплине

📚 Похожие вопросы по этой дисциплине
Какая из заданных функций задан... Какая из заданных функций является обратной для фун...