#773901
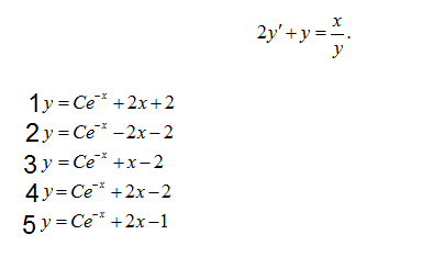
#773901: Общим решением дифференциального уравнения будет … /images/20001-30000/28501/28501-46.jpg
Общим решением дифференциального уравнения будет …

Варианты ответа:
- 1
- 2
- 3
- 4
- 5
Курсы в категории:
Математика и статистика
Курс посвящен математическому анализу динамических процессов с помощью дифференциальных и разностных уравнений. Рассматриваются методы их решения, анализ устойчивости и приложения в физике, биологии, экономике и инженерных задачах. Студенты учатся строить и исследовать модели, описывающие эволюцию систем во времени, что позволяет прогнозировать их поведение и находить оптимальные управляющие воздействия. Особое внимание уделяется численным методам и компьютерному моделированию.
Курс посвящен математическому анализу динамических процессов с помощью дифференциальных и разностных уравнений. Рассматриваются методы их решения, анализ устойчивости и приложения в физике, биологии, экономике и инженерных задачах. Студенты учатся строить и исследовать модели, описывающие эволюцию систем во времени, что позволяет прогнозировать их поведение и находить оптимальные управляющие воздействия. Особое внимание уделяется численным методам и компьютерному моделированию.