znaet znaetguru
Курсы Команда FAQ Контакты
Авторизация
Курсы FAQ Контакты О нас Авторизация
📚

Все вопросы

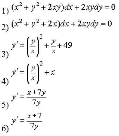
  • Даны дифференциальные уравнения. Укажите среди них однородные уравнения Изображение #691
  • Найдите частное решение уравнения, если при t = 0 s = 0 Изображение #692
  • Найдите частное решение уравнения xdx = dy, если при x = 1 y = 0 Изображение #693
  • Найдите частное решение уравнения 2sdt = tds, если при t = 1 s = 2 Изображение #694
  • Найдите общее решение уравнения (x + y)dx + xdy = 0 Изображение #695
  • Найдите общее решение уравнения Изображение #696
  • Найдите общее решение уравнения Изображение #697
  • Найдите общее решение уравнения y′′ = cos x Изображение #698
  • Найдите общее решение уравнения y′ = sin x + 2 Изображение #699
  • Найдите общее решение уравнения Изображение #700
« 1 ... 68 69 70 71 72 ... 271 »
znaet znaet.guru © 2025 Все права защищены
Курсы Команда Политика Условия FAQ Контакты