znaet znaetguru
Курсы Команда FAQ Контакты
Авторизация
Курсы FAQ Контакты О нас Авторизация
📚

Все вопросы

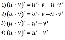
  • Укажите формулу для производной произведения функций u и v, если они дифференцируемы в некоторой точке и их произведение также дифференцируемо в этой точке Изображение #331
  • Чему равна производная постоянной функции? #332
  • Чему, согласно правилу Лопиталя, равен предел отношения двух бесконечно малых или бесконечно больших функций, если последний существует? #333
  • В каких точках выпукла или вогнута кривая Изображение #334
  • Исследуйте функцию y=x^3+3x^2на экстремумы #335
  • Какая кривая y = f(x) называется выпуклой на интервале (a, b)? #336
  • Каково необходимое условие возрастания функции? Изображение #337
  • Найдите промежутки возрастания или убывания функции Изображение #338
  • Найдите промежутки возрастания или убывания функции Изображение #339
  • Найдите наибольшее и наименьшее значения функции y = x^2 на промежутке [-1; 3] Изображение #340
« 1 ... 32 33 34 35 36 ... 214 »
znaet znaet.guru © 2025 Все права защищены
Курсы Команда Политика Условия FAQ Контакты