znaet znaetguru
Курсы Команда FAQ Контакты
Авторизация
Курсы FAQ Контакты О нас Авторизация
📚

Все вопросы

  • Производная функции у(х) = х равна #11
  • Производная функции у = tg 3x равна #12
  • Производная функции у = arcsin3x равна #13
  • Какая из заданных функций задана явно: #14
  • Какая из заданных функций является обратной для функции Y=5x-3: #15
  • Решив систему уравнений, получим: … Изображение #16
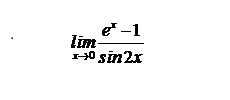
  • Пользуясь правилом Лопиталя, можно найти предел, который равен … Изображение #17
  • Для графика функции … Изображение #18
  • Интеграл равен … Изображение #19
  • Если в цехе работают шесть мужчин и четыре женщины и по табельным номерам наудачу отобраны семь человек, то вероятность того, что среди отобранных окажутся три женщины, составляет … #20
« 1 2 3 4 ... 176 »
znaet znaet.guru © 2026 Все права защищены
Курсы Команда Политика Условия FAQ Контакты