znaet znaetguru
Курсы Команда FAQ Контакты
Авторизация
Курсы FAQ Контакты О нас Авторизация
📚

Все вопросы

  • Дана задача Коши:. Записать ее в форме интегрального уравнения. Изображение #41
  • Множество точек метрического пространства, заданное уравнением, называется: Изображение #42
  • Полное линейное нормированное пространство называется: #43
  • Интегральный оператор, ядро которого удовлетворяет условию Гильберта – Шмидта в пространстве является: Изображение #44
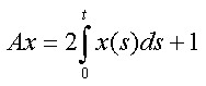
  • Найти неподвижную точку оператора “A”, если: Изображение #45
  • Дана задача Коши:. Записать ее в форме интегрального уравнения Изображение #46
  • Для пространства непрерывных функций на отрезке C[a, b] метрика имеет вид: #47
  • Решить приближенно интегральное уравнение, разложив ядро в ряд, и сохранив одно слагаемое: Изображение #48
  • Функционал называется линейным, если: #49
  • Решить данное интегральное уравнение: Изображение #50
« 1 ... 3 4 5 6 7 ... 168 »
znaet znaet.guru © 2025 Все права защищены
Курсы Команда Политика Условия FAQ Контакты