znaet znaetguru
Курсы Команда FAQ Контакты
Авторизация
Курсы FAQ Контакты О нас Авторизация
📚

Все вопросы

  • Сопоставьте понятия с их определениями: #2201
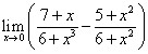
  • Чему равен? Изображение #2202
  • Если функция дифференцируема в точке x0, то в этой точке функция будет … #2203
  • Какое из ниже перечисленных предложений определяет производную функции (когда приращение аргумента стремится к нулю)? #2204
  • Какое из следующих чисел является простым? #2205
  • Для выполнения условия "остаток строго меньше делителя" в случае деления многочленов, сравниваются их... #2206
  • Какое из следующих чисел является составным? #2207
  • Наименьшее общее кратное (НОК) чисел 6 и 8 равно... #2208
  • ... числа - это числа, которые имеют ровно два различных натуральных делителя: единицу и само себя #2209
  • Какие из следующих утверждений верны? #2210
« 1 ... 219 220 221 222 223 ... 269 »
znaet znaet.guru © 2026 Все права защищены
Курсы Команда Политика Условия FAQ Контакты