#493082
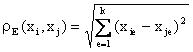
Расстояние, измеряемое по принципу “ближайшего соседа” находится по формуле:
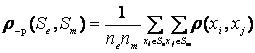
Варианты ответа:
Тематика:
Эконометрика
Курсы в категории:
Экономика и управление





