📚
Все вопросы
- Для каких установок полезно повышение давления рабочего тела #241
- Что происходит с рабочим телом в двигателе внутреннего сгорания, для получения энергии? #242
- В какой части паротурбинной установки (ПТУ) отработавший водяной пар превращается в жидкость, в: #243
-
Как называется соотношение
#244
-
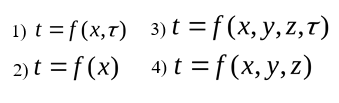
Укажите математическое выражение 3-мерного нестационарного температурного поля
#245
-
Укажите выражение термического сопротивления теплопроводности 1-слойной плоской стенки
#246
- Каков закон изменения температуры для теплопроводности в цилиндрической стенке? #247
- Каким способом отдается теплота от отопительного устройства окружающему воздуху? #248
-
Какое из этих выражений является первым законом термодинамики для единицы массы вещества
#249
- Каково направление вектора температурного градиента? #250