znaet znaetguru
Курсы Команда FAQ Контакты
Авторизация
Курсы FAQ Контакты О нас Авторизация
📚

Все вопросы

  • Которое из этих выражений является м закона Фурье? Изображение #251
  • Которое из этих выражений является законом Планка для излучения? Изображение #252
  • Которое из этих выражений является законом Стефана-Больцмана для излучения серого тела? Изображение #253
  • От чего зависит степень черноты поверхности? #254
  • Что такое средне-арифметическая разность температур между теплоносителями в теплообменнике? Изображение #255
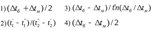
  • Что такое средне-логарифмическая разность температур между теплоносителями? Изображение #256
  • Которое из приведенных выражений является м? Изображение #257
  • Укажите число подобия Прандтля Изображение #258
  • Теплота передается от горячего теплоносителя к холодному через плоскую стенку поверхностью F = 0,2 м². Определите термическое сопротивление теплопередачи, если: Изображение #259
  • Как называется процесс, протекающий при отсутствии теплообмена с внешней средой #260
« 1 ... 24 25 26 27 28 ... 147 »
znaet znaet.guru © 2026 Все права защищены
Курсы Команда Политика Условия FAQ Контакты